Category

[Important] Regarding Class Cancellation for Friday, December 22 due to the Heavy Snowfall

Neuroprotective effects of oral metformin before stroke on cerebral small-vessel disease

Global media magazine TIME Asia Edition introduces Niigata University

Production of marmoset eggs and embryos from xenotransplanted ovary tissues

Impact of Tissue-nonspecific Alkaline Phosphatase in the Cranial Base

Involvement of Brain Peptide Dynamics in the Pathology of Fatty Liver Disease

Romanian Ambassador to Japan visits Niigata University

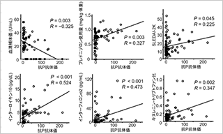
Regular health checkups may prevent the development of end-stage kidney disease (ESKD)

[To all students graduating in September 2023] Video of 2023 Fall Graduation Ceremony Now Available